बेसिक शिक्षा विभाग के सभी छात्र /छात्रों के प्रतियोगी परीक्षा की  तैयारी हेतु “मिशन शिक्षण संवाद टीम द्वारा प्रयास  “.More Details!

HomeTET EXAM PRIMARYTET EXAM – PS -2014 (MATHS)

TET EXAM – PS -2014 (MATHS)

0%
0 votes, 0 avg
133

Welcome All The Best !

Keep Practice

Thank you for your participation.


TET EXAM (PRIMARY)

TET EXAM – PS -2014 (MATHS)

 

 

Questions 30

Time 60 Minutes

Marks 30

 

No Negative marking

1 / 30

Category: TET EXAM MATHS (PRIMARY)

1. एक एलीवेटर किसी खदान में 6 मी/मिनट की गति से उतरता है। यदि एलीवेटर जमीन के स्तर से 10 मी ऊँचाई से उतरता है, तो 350 मी उतरने मे लगा समय है

2 / 30

Category: TET EXAM MATHS (PRIMARY)

2. दी गई आकृति में, x और y के मान क्रमशः हैं।

3 / 30

Category: TET EXAM MATHS (PRIMARY)

3. यदि ABCD एक समचतुर्भुज है, तब

 

4 / 30

Category: TET EXAM MATHS (PRIMARY)

4. यदि झील की लम्बाई और चौड़ाई क्रमशः 40 मी तथा 10 मी हो तथा इसमें 1200 घन मी पानी है, तो झील की गहराई कितनी है

5 / 30

Category: TET EXAM MATHS (PRIMARY)

5. दो संख्याओं का महत्तम समापवर्तक 35 और उनका लघुत्तम समापवर्त्य 525 है। यदि उनमें एक संख्या 175 है, तो दूसरी संख्या है।

 

6 / 30

Category: TET EXAM MATHS (PRIMARY)

6. A की मासिक आय B की आय से 20% अधिक है। B की आय C की आय का 30% है। यदि इन तीनों की सम्मिलित प्रतिमाह आय ₹ 74700 है, तो C की आय है

7 / 30

Category: TET EXAM MATHS (PRIMARY)

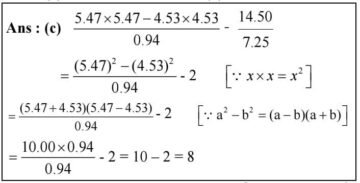
7. सरल करें

8 / 30

Category: Uncategorized

8. एक परिमेय संख्या 5/19 व इसके योज्य प्रतिलोम के गुणनफल का गुणात्मक प्रतिलोम होगा

9 / 30

Category: TET EXAM MATHS (PRIMARY)

9. यदि 65 और 117 का म.स. 65m-117 के रूप में दर्शाने योग्य हो, तो m का मान है-

10 / 30

Category: TET EXAM MATHS (PRIMARY)

10. किन्हीं दो परिमेय संख्याओं के बीच –

 

 

11 / 30

Category: Uncategorized

11. जब राजन के सामने वार्तिक समस्याएँ आती हैं, तो वह प्रायः पूछता है “मैं जमा करूँ या घटा?” “मैं गुणा करूँ या भाग?”। इस तरह के प्रश्न बताते हैं कि

12 / 30

Category: Uncategorized

12. यदि किसी वर्ग के विकर्ण को दोगुना कर दिया जाए, तो उसका क्षेत्रफल होगा

13 / 30

Category: Uncategorized

13. क्षेत्रफल की अवधारणा से परिचित कराने के लिए शिक्षक ……. से शुरूआत कर सकता है।

14 / 30

Category: Uncategorized

14. एक ‘अच्छा’ गणितज्ञ होने के लिए …. जरूरी होता है।

15 / 30

Category: Uncategorized

15. माप’ की अवधारणा विकसित करने हेतु अपनाए गए निम्नलिखित कार्यों को क्रम से लगाइए

(1) शिक्षार्थी लम्बाई मापने के लिए मानक इकाईयों का प्रयोग करते हैं।

 

(2) शिक्षार्थी लम्बाई मापने के लिए अमानक इकाईयों का प्रयोग करते हैं।

 

(3) शिक्षार्थी सरल अवलोकन द्वारा वस्तुओं को सत्यापित करते हैं।

 

(4) शिक्षार्थी मीटरी इकाईयों के बीच के सम्बन्धों को समझते हैं।।

 

 

16 / 30

Category: Uncategorized

16. भिन्नों का योग पढ़ाते समय शिक्षक को नीचे दी हुई एक त्रुटि ज्ञात हुई 1/2+1/3=2/5 इस स्थिति में शिक्षक को उपचारात्मक कार्य के रूप में क्या करना चाहिए

17 / 30

Category: Uncategorized

17. 1715.271 में 7 के स्थानीय मानों का अन्तर है

18 / 30

Category: Uncategorized

18. दो सहअभाज्य संख्याओं का महत्तम समापवर्तक होगा

19 / 30

Category: Uncategorized

19. किसी दिए गए आँकड़ों के लिए बारम्बारता 5 को टेली चिन्ह में निरूपित करते हैं

 

20 / 30

Category: Uncategorized

20. दो अंकों वाली संख्या के दोनों अंकों का योग 7 है। यदि संख्या में 27 जोड़ दिया जाए, तो अंकों का क्रम उलट जाता है। वह संख्या है

21 / 30

Category: TET EXAM MATHS (PRIMARY)

21. यदि एक वृत्त की परिधि 44 सेमी है, तो उसका क्षेत्रफल होगा

22 / 30

Category: TET EXAM MATHS (PRIMARY)

22. जतिन और प्रिया के पास मिलाकर ₹ 41 हैं। जतिन के पैसे का 1/4 प्रिया के पैसों के 1/7 से ₹ 2 अधिक है। प्रिया के पास है-

23 / 30

Category: TET EXAM MATHS (PRIMARY)

23. प्रथम पाँच धन रूढ़ (अभाज्य) संख्याओं का योग है-

24 / 30

Category: TET EXAM MATHS (PRIMARY)

24. यदि संख्या 62532915a, 6 से पूर्णतः विभाज्य है, तो ‘a’ के स्थान पर सबसे बड़ा अंक होगा।

25 / 30

Category: TET EXAM MATHS (PRIMARY)

25. किसी घनाभ की तीन संलग्न फलकों के क्षेत्रफल क्रमशः a मी²

, b मी² तथा c मी² हैं। इसका आयतन होगा।

26 / 30

Category: TET EXAM MATHS (PRIMARY)

26. मान बताओ

27 / 30

Category: TET EXAM MATHS (PRIMARY)

27. चित्र में angle B = 70 deg , angle C = 60 deg E, BC का मध्य बिन्दु है तथा F. AB का मध्य बिन्दु है, तब ∠FEB का मान है

28 / 30

Category: TET EXAM MATHS (PRIMARY)

28. 10 मी/से को किमी/घण्टे में बदलें।

29 / 30

Category: TET EXAM MATHS (PRIMARY)

29. यदि कोई राशि 5% वार्षिक साधारण व्याज की दर से 6 वर्षों में ₹ 2600 हो जाती है, तो राशि है

30 / 30

Category: TET EXAM MATHS (PRIMARY)

30. AB एक वृत्त की जीवा है जिसकी लम्बाई 10 सेमी है। यदि वृत्त की त्रिज्या 13 सेमी हो, तो केन्द्र से जीवा पर डाले गए लम्ब की लम्बाई है

Your score is

The average score is 50%

Leave A Reply

Your email address will not be published. Required fields are marked *

Post Category

Posted Month

You May Also Like

Facebook Twitter Like Love This WhatsApp Telegram Facebook Twitter Like Love This WhatsApp Telegram 0shares
Facebook Twitter Like Love This WhatsApp Telegram Facebook Twitter Like Love This WhatsApp Telegram 1share
Facebook Twitter Like Love This WhatsApp Telegram Facebook Twitter Like Love This WhatsApp Telegram 1share

All The Best